展示品の紹介

このページは、記念館に展示してある末永敏事さんとその父である道白さんの遺品を紹介しているページです。これらの遺品から生前、末永敏事さんがどのような人生をおくり、どのようなことを成していたのかを読み解きます。
また、遺品やそれらを通して未発見の新たな情報を得ることを目的としています。
本ページ未掲載の展示品もございますので、ぜひ一度ご来館ください。

末永敏事・静江夫妻


1927年(昭和2年)結婚、昭和8年離婚

静江・範子母娘


静江 1900~1989 範子(敏事の長女)1929~2011

敏事の父 2代目末永道伯


代々の漢方医で寺子屋を営む

敏事の母 チヨ


静江の父 中嶋滋太郎


元日本郵船取締役、元日本海事協会理事

敏事の友人 井村兼治


1940年代の壮年期の兼治氏 敏事の親友で歯科医師

井村兼治一家


敏事の友人井村兼治翁(前列右)と長男・正治氏一家

井村兼治長男・正治氏著 「述懐」


正治氏が見聞きした敏事に関する貴重な記録

白十字会恩賜保養農園


結核医として入職中特高警察に逮捕される

「特高月報」昭和13年10月分


拙者が反戦主義者なる事及び軍務を拒絶する旨通告申し上げます

敏事の紹介記事


1927年(昭和2年)2月1日付大島原新聞 (島原市 松平文庫所蔵)

内村鑑三(文久元年~昭和5年)


無教会主義キリスト教の創始者。敏事の師にあたる。

内村鑑三より敏事への書簡


敏事の病気見舞い、寄付金のお礼などが記されている(大正5年7月15日付)

内村鑑三の「戦争廃止論」


1903年(明治36年)6月30日付萬朝報(よろずちょうほう)

敏事の論文(国会図書館所蔵)


1920年代に書かれた敏事の英語論文(記念館にてコピー展示中)

米国留学時の末永敏事


1923年(大正12年)米国シンシナティにて(七條眞由美さん提供)

内村鑑三から敏事への書簡


1921年11月10日付 内村鑑三からシンシナティに移った敏事への書簡

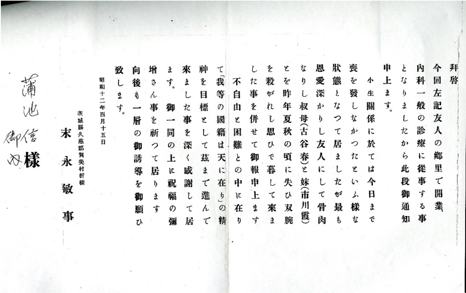
敏事より戦友 蒲地 信への書簡


昭和12年4月15日付茨城県での医院開業を伝える書簡

敏事より戦友 蒲地 信への書簡


昭和12年7月11日付の蒲地信宛の直筆書簡(記念館会員高木謙次氏提供)

敏事より郷里の友人へのはがき


長崎医専在学中郷里の友へ出したはがきとその清書(明治42年1月21日付)

元妻中島静江さん関連記事


デザイン及びモデルは静江さん昭和11年5月号(婦人之友社提供)

末永敏事・道伯の遺品


道伯の筆と思われる漢詩が描かれた蓋と薬箱におさめられた書籍類

末永敏事・道伯の遺品


薬草等を磨り潰す薬研

末永敏事・道伯の遺品


寺子屋を主宰していた道伯筆による書の手本(春夏秋冬4枚の内、春)

末永敏事・道伯の遺品


敏事の遺品 木製の行李(台湾赴任や米国留学学習に使用された

末永敏事・道伯の遺品


木製行李に貼られていたNIIPPON YUSEN KAISSYAのラベル。白地に2本の赤帯の社旗は日本最大級の海運会社で、これを保管していた当時の井村家に海外渡航者はなく、その口伝も含めて敏事のものと確認された。以上の品々は敏事が故郷を発つ時懇意にしていた井村家(現 末永敏事平和記念館理事宅)へ託したものであります。以来90年近く保存されていたことは奇跡的であり、この点、敏事の判断は誠に正しかったこととなります。